These NCERT Solutions for Class 12 Maths Chapter 5 Continuity and Differentiability Miscellaneous Exercise Questions and Answers are prepared by our highly skilled subject experts. https://mcq-questions.com/ncert-solutions-for-class-12-maths-chapter-5-miscellaneous-exercise/
NCERT Solutions for Class 12 Maths Chapter 5 Continuity and Differentiability Miscellaneous Exercise
![]()
Question 1.
(3x² -9x + 5)9
Solution:
Let y = (3x² -9x + 5)9
∴ \(\frac { dy }{ dx }\) = (3x² -9x + 5)8. \(\frac { d }{ dx }\)(3x² -9x + 5)
= 9(3x² -9x + 5)8 (6x – 9)
= 27 (3x² -9x + 5)8 (2x – 3)
Question 2.
sin³x + cos6 x
SoL
Let y = sin³x + cos6 x
∴ \(\frac { dy }{ dx }\) = 3 sin²x . cosx + 6cos5x (- sinx)
= 3 sinx cosx (sinx – 2 cos4x)
![]()
Question 3.
(5x)3cos2x
Solution:
Let y = (5x)3cos2x
Taking logarithmon both sides,
∴ log y = 3 cos 2x log 5x
Differentiating both sides, w.r.t. x,

Question 4.
sin-1 (x\(\sqrt{x}\)), 0 ≤ x ≤ 1
Solution:

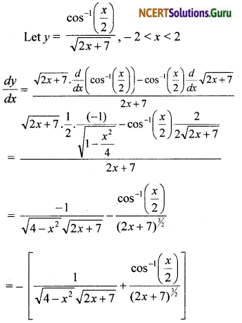
Question 5.
\(\frac{\cos ^{-1} \frac{x}{2}}{\sqrt{2 x+7}},-2<x<2\)
Solution:

![]()
Question 6.
\(\cot ^{-1}\left[\frac{\sqrt{1+\sin x}+\sqrt{1-\sin x}}{\sqrt{1+\sin x}-\sqrt{1-\sin x}}\right], 0<x<\frac{\pi}{2}\)
Solution:

Question 7. \((\log x)^{\log x}, x>1\)
Solution:
Let y = \((\log x)^{\log x}\)
Taking logarithmon both sides,
∴ log y = log x(log log x)
Differentiating both sides, w.r.t. x,
\(\frac { 1 }{ y }\) \(\frac { dy }{ dx }\) = logx.\(\frac { 1 }{ log x }\).\(\frac { 1 }{ x }\) + \(\frac { 1 }{ x }\).log log x
∴ \(\frac { dy }{ dx }\) = (log x)log x [\(\frac { 1 }{ x }\) + \(\frac { log log.x }{ x }\)]
![]()
Question 8.
cos (a cos x + b sin x), for sorne constant a and b.
Solution:
Let y = cos (a cosx + b sinx)
\(\frac { dy }{ dx }\) = sin (a cosx + h sinx).
\(\frac { dy }{ dx }\)(a cosx + b sinx)
= – sin (a cosx + b sinx) [- a sinx + b cosx]
= (a sinx – b cosx).sin (a cosx + b sinx)
Question 9.
(sin x – cos x)sin x-cos x, \(\frac { π }{ 4 }\)< x < \(\frac { 3π }{ 4 }\)
Solution:
When \(\frac { π }{ 4 }\)< x < \(\frac { 3π }{ 4 }\), then sin x > cos x
so that sin x – cos x is positive.
Let y = (sinx – cosx)sin x-cos x
Taking logarithm on both sides,
∴ logy = (sinx – cosx) log (sinx – cosx)
Differentiating both sides w.r.t. x,
\(\frac { 1 }{ y }\) \(\frac { dy }{ dx }\)
=( sinx – cosx)\(\frac { 1 }{ sin x-cosx }\) .\(\frac { d }{ dx }\)(sinx-cosx) + log (sinx – cosx). (cosx + sinx)
= (cosx + sinx) + log (sinx – cosx) . (cosx + sinx)
= (cosx + sinx) [1 + log (sinx – cosx)]
∴ \(\frac { dy }{ dx }\) = (sin x – cos x)sin x-cos x(cosx + sinx) [1 + log(sinx – cosx)]
![]()
Question 10.
xx + xa + ax + aa for some fixed a > 0 and x > 0.
Solution:

Question 11.
\(x^{x^{2}-3}+(x-3)^{x^{2}}\), for x > 3
Solution:
Let u = x\(x^{x^{2}-3}\) and v = (x – 3)x²
Differentiating w.r.t. x,
∴ \(\frac { dy }{ dx }\) = \(\frac { du }{ dx }\) + \(\frac { dv }{ dx }\) … (1)
u = xx²-3
Taking logarithm on bath sides,
∴ log u = (x² – 3)log
Differentiating both sides w.r.t. x,

Taking logarithm on bath sides,
∴ log v = x²log(x – 3)
Differentiating both sides w.r.t. x,

Question 12.
Find \(\frac { dy }{ dx }\), if y = 12(1 – cos t),
x = 10(t – sin t), \(\frac { – π }{ 2 }\) < t < \(\frac { π }{ 2 }\)
Solution:

![]()
Question 13.
Find \(\frac { dy }{ dx }\), if
y = sin-1 x + sin-1 \(\sqrt{1-x^{2}},-1 \leq x \leq 1\).
Solution:

Question 14.
If \(x \sqrt{1+y}+y \sqrt{1+x}\) = 0, for – 1 < x < 1, prove that \(\frac { dy }{ dx }\) = – \(\frac{1}{(1+x)^{2}}\)
Solution:
\(x \sqrt{1+y}+y \sqrt{1+x}\) = 0
\(x \sqrt{1+y}\) = – y\(\sqrt{1+y}\)
Squaring both sides,
x²(1 + y) = y²(1 + x)
x² + x²y = y² + y²x
x² – y² = y²x – x²y
(x – y)(x + y) = xy(x – y)
(x + y) = – xy
y + xy = – x
y(1 + x) = – x
∴ y = \(\frac { – x }{ 1+x }\)
Differentiating w.r.t. x,
\(\frac { dy }{ dx }\) = \(\frac{(1+x)(-1)-(-x) 1}{(1+x)^{2}}\)
= \(\frac{-1-x+x}{(1+x)^{2}}\) = \(\frac{-1}{(1+x)^{2}}\), x ≠ – 1
![]()
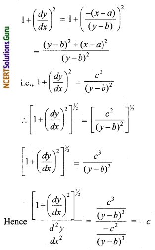
Question 15.
If (x – a)² + (y – b)² = c², for some c > 0, prove that
\(\frac{\left[1+\left(\frac{d y}{d x}\right)^{2}\right]^{\frac{3}{2}}}{\frac{d^{2} y}{d x^{2}}}\)
is a constant, independent of a and b.
Solution:

Question 16.
If cos y = x cos (a + y), with
cos a ≠ ± 1, prove that \(\frac { dy }{ dx }\) = \(\frac{\cos ^{2}(a+y)}{\sin a}\)
Solution:

Question 17.
If x = a(cos t + t sin t) and y = a(sin t – t cos t), find \(\frac{d^{2} y}{d x^{2}}\)
Solution:

![]()
Question 18.
If f(x) = |x|³, show that f”(x) exists for all real x and find it.
Solution:
f(x) can be redefined as
f(x) = \(\left\{\begin{aligned}
x^{3}, & x \geq 0 \\
-x^{3}, & x<0 \end{aligned}\right.\) For x > 0 and x < 0, fix) is a polynomial function. Hence f(x) is differentiable for x > 0 and x < 0. ∴ For x > 0, f'(x) = 3x² and f”(x) = 6x
For x < 0, f'(x) = – 3x² and f”(x) = – 6x

or f”(x) = 6|x| exists for all x ∈ R
Question 19.
Using mathematical induction, prove that \(\frac { d }{ dx }\)(xⁿ) = \(n x^{n^{-1}}\) for all positive integers n.
Solution:

Hence P(k + 1) is true.
i.e., P(k + 1) is true whenever P(k) is true.
Hence by the principle of mathematical induction, \(\frac { d }{ dx }\)(xⁿ) = nxn-1 is true for positive integer n.
![]()
Question 20.
Using the fact that sin (A + B) = sin A cos B + cos A sin B and the differentiation, obtain the sum formula for cosines.
Solution:
sin (A + B) = sin A cos B + cos A sin B
Differentiating both sides w.r.t. x,

Question 21.
Does there exist a function which is continuous everywhere but not differentiable at exactly two points? Justify your answer.
Solution:
Yes.
i. Let f(x) = |x – 1| + |x – 2|
Let g(x) = |x|, h(x) = x – 1, k(x) = x – 2.
Then g(x), h(x) and k(x) are continuous functions since h(x) and k(x) are polynomial functions and g(x) ¡s the modulus function.

at x = 1, since Lf’(1) ≠ Rf’(1)
Similarly we can show that f(x) ¡s not differentiable at x = 2.
Thus f(x) = |x – 1| + |x – 2| is continuous everywhere and not differentiable at exactly two points, namely at x = 1 or x = 2.
![]()
Question 22.
If y = \(\left|\begin{array}{ccc}
f(x) & g(x) & h(x) \\
l & m & n \\
a & b & c
\end{array}\right|\), prove that \(\frac { dy }{ dx }\) = \(\left|\begin{array}{ccc}
f^{\prime}(x) & g^{\prime}(x) & h^{\prime}(x) \\
l & m & n \\
a & b & c
\end{array}\right|\)
Solution:

Question 23.
If y = \(e^{a \cos ^{-1} x}\), – 1 ≤ x ≤ 1, show that (1 – x²)\(\frac{d^{2} y}{d x^{2}}-x \frac{d y}{d x}-a^{2} y\) = 0
Solution:
f(x) = x + \(\frac { 1 }{ x }\)
f(x) is a continuous function in [1, 3]
Ax) is differentiable in(1,3)
f’(x) = 1 + \(\\frac{-1}{x^{2}}\) exists for x ∈ (1, 3)
