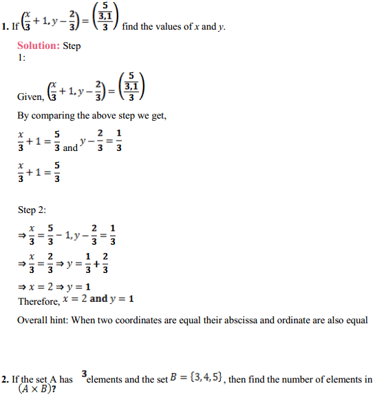
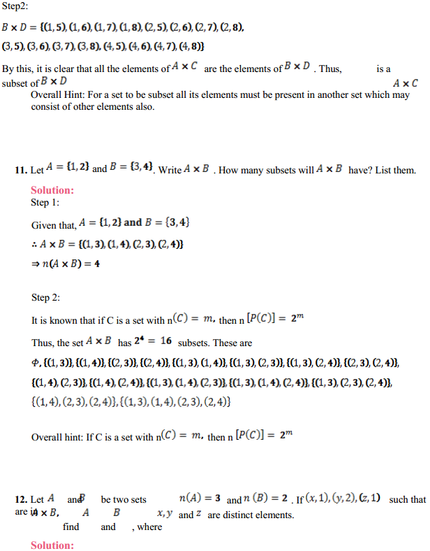
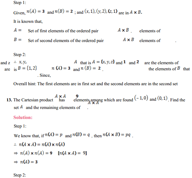
Access Class 11 Maths NCERT Solutions Chapter 2 Relations and Functions Ex 2.1, contains solutions for all Exercise 2.1 Class 11 questions.
Relations and Functions Class 11 NCERT Solutions Maths Chapter 2 Exercise 2.1


![]()




![]()


Access Class 11 Maths NCERT Solutions Chapter 2 Relations and Functions Ex 2.1, contains solutions for all Exercise 2.1 Class 11 questions.


![]()




![]()

