These NCERT Solutions for Class 12 Maths Chapter 9 Differential Equations Miscellaneous Exercise Questions and Answers are prepared by our highly skilled subject experts. https://mcq-questions.com/ncert-solutions-for-class-12-maths-chapter-9-miscellaneous-exercise/
NCERT Solutions for Class 12 Maths Chapter 9 Differential Equations Miscellaneous Exercise
![]()
Question 1.
For each of the differential equations given in Exercises 1 to 12, find the general solution.
i. \(\frac{d^{2} y}{d x^{2}}+5 x\left(\frac{d y}{d x}\right)^{2}-6 y=\log x\)
ii. \(\left(\frac{d y}{d x}\right)^{3}-4\left(\frac{d y}{d x}\right)^{2}+7 y=\sin x\)
iii. \(\frac{d^{4} y}{d x^{4}}-\sin \left(\frac{d^{3} y}{d x^{3}}\right)=0\)
Solution:
i. \(\frac{d^{2} y}{d x^{2}}+5 x\left(\frac{d y}{d x}\right)^{2}-6 y=\log x\)
∴ Order 2 and degree = 1
ii. \(\left(\frac{d y}{d x}\right)^{3}-4\left(\frac{d y}{d x}\right)^{2}+7 y=\sin x\)
∴ Order 1 and degree = 3
iii. \(\frac{d^{4} y}{d x^{4}}-\sin \left(\frac{d^{3} y}{d x^{3}}\right)=0\)
∴ Order 4 and degree not defined.
Question 2.
For each of the exercises given below, verify that the given function (implicit or explicit) is a solution of the corresponding differential equation.
i. y = a ex + be-x + x²:
\(\frac{d^{2} y}{d x^{2}}+2 \frac{d y}{d x}\) – xy + x² – 2 = 0
ii. y = ex(a cos x + b sin x) :
\(\frac{d^{2} y}{d x^{2}}-2 \frac{d y}{d x}\) + 2y = 0
iii. y = x sin 3x :
\(\frac{d^{2} y}{d x^{2}}\) + 9y – 6 cos 3x = 0
iv. x² = 2y² log y :
(x² + y²) \(\frac { dy }{ dx }\) – xy = 0
Solution:
i. y = a ex + be-x + x²:
Differentiating w.r.t. x, we get

ii. y = ex(a cos x + b sin x) :
Differentiating w.r.t. x, we get

iii. y = x sin 3x :
Differentiating w.r.t. x, we get
\(\frac { dy }{ dx }\) = 3x cos3x + sin 3x
\(\frac{d^{2} y}{d x^{2}}\) = 3x(- 3sin 3x) + 3cos 3x + 3cos 3x
= – 9x sin 3x + 6cos 3x
\(\frac{d^{2} y}{d x^{2}}\) + 9y – 6cos 3x
= – 9x sin 3x + 6cos 3x + 9x sin 3x – 6cos 3x = 0
∴ y = xsin 3x is the solution of the differential equation \(\frac{d^{2} y}{d x^{2}}\) + 9y – 6cos 3x = 0
iv. x² = 2y² log y :
Differentiating w.r.t. x, we get

Question 3.
Form the differential equation representing the family of curves given by (x – a)² + 2y² = a², where a is an arbitrary constant.
Solution:
(x – a)² + 2y² = a² … (1)
Differentiating w.r.t. x, we get
2(x – a) + 4yy’ = 0
x – a + 2yy’ = 0
∴ a = x + 2yy’
(1) → (- 2yy’)² + 2y² =[x + 2yy’]²
4(yy’)² + 2y² = x² + 4 xyy’ + 4 (yy’)²
2y² = x² + 4xyy’
∴ y’ = \(\frac{2 y^{2}-x^{2}}{4 x y}\) is the required differential equation.
![]()
Question 4.
Prove that x² – y² = c (x² + y²)² is the general solution of differential equation (x³ – 3xy²) dx = (y³ – 3x²y) dy, where c is a parameter.
Solution:

x² – y² = C(x² + y²)² where C = C²1 is the general solution.
Question 5.
Form the differential equation of the family of circles in the first quadrant which touch the coordinate axes.
Solution:

The equation of the required circles is
(x – r)² + (y – r)² = r² … (1)
x² + y² – 2rx – 2ry + r² = 0
Differentiating (1) w.r.t. x, we get
2x + 2yy1 – 2r – 2ry1 = 0
r = \(\frac{x+y y_{1}}{1+y_{1}}\)
Substituting r in (1), we get

is the required differential equation.
Question 6.
Find the general solution of the differential equation \(\frac{d y}{d x}+\sqrt{\frac{1-y^{2}}{1-x^{2}}}=0\).
Solution:

∴ sin-1y + sin-1x = C, is the general solution.
![]()
Question 7.
Show that the general solution of the differential equation \(\frac{d y}{d x}+\frac{y^{2}+y+1}{x^{2}+x+1}\) = 0 is given by
(x + y + 1) = A(1 – x – y – 2xy), where A is the parameter.
Solution:

Question 8.
Find the equation of the curve passing through the point (0, \(\frac { π }{ 4 }\)) whose differential equation is sin x cos y dx + cos x siny dy = 0.
Solution:
sin x cos y dx + cos x sin y dy = 0.
Divide by cos x cos y, we get
\(\frac{\sin x}{\cos x} d x+\frac{\sin y}{\cos y} d y=0\)
tan x dx + tan y dy = 0
Integrating both sides, we get
∫tan x dx + ∫tan y dy = ∫o dx
log|sec x| + log|sec y| = log|C|
log|sec x secy| = log|C|
sec x sec y = C … (1)
(1) Passes through the point
we get C = \(\sqrt{2}\)
∴ (1) → sec x secy = \(\sqrt{2}\)
⇒ cos y = \(\frac{\sec x}{\sqrt{2}}\), is the equation of the curve.
Question 9.
Find the particular solution of the differential equation
(1 + e2x) dy + (1 + y²)ex dx = 0. Given that y = 1 when x = 0.
Solution:
(1 + e2x) dy + (1 + y²)ex dx = 0
Divide by (1 + e2x)(1 + y²), we get

![]()
Question 10.
Solve the differential equation
\(y e^{\frac{x}{y}} d x=\left(x e^{\frac{x}{y}}+y^{2}\right) d y\) (y ≠ 0).
Solution:

i.e., \(e^{\frac{x}{y}}\) = y + C is the general solution.
Question 11.
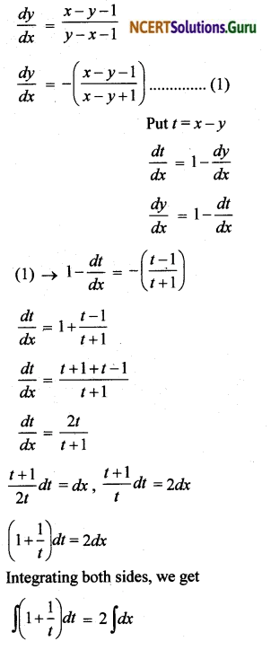
Find a particular solution of the differential equation (x – y) (dx + dy) = dx – dy. Given that y = – 1, when x = 0.
Solution:
(x – y)(dx + dy) = dx – dy
xdx – ydx + xdy – ydy = dx – dy
(x – y – 1)dx = (y – x – 1)dy

t + log|t| = 2x + C
x – y + log|x – y|= 2x + C … (2)
When x = 0, y = – 1
∴ (2) → 1 + log 1 = 0 + C
C = 1
∴ (2) → x – y + log |x – y| = 2x + 1
Hence x + y + 1 = log|x – y| is the particular solution
Question 12.
Solve the differential equation \(\left[\frac{e^{-2 \sqrt{x}}}{\sqrt{x}}-\frac{y}{\sqrt{x}}\right] \frac{d x}{d y}=1(x \neq 0)\).
Solution:

i.e., \(y e^{2 \sqrt{x}}=2 \sqrt{x}+C\) is the general solution.
Question 13.
Find a particular solution of the differential equation \(\frac { dy }{ dx }\) + y cot x = 4x cosec x (x ≠ 0).
Given that y = 0 when x = \(\frac { π }{ 2 }\)
Solution:
\(\frac { dy }{ dx }\) + y cot x = 4x cosec x is a linear differential equation.
∴ P = cot x and Q = 4x cosec x
∫Pdx = ∫cot x dx = log sinx
∴ I.F. = e∫p dx = elog sinx = sin x
The solution is y(I.F) = ∫Q(I.F)dx + C
y sinx = ∫4x cosec x sin xdx + C
= ∫4x dx + C
y sin x = 2x + C … (1)
When x = \(\frac { π }{ 2 }\), y = 0
(1) → o = \(\frac { π² }{ 2 }\) + C
∴ C = \(\frac { π² }{ 2 }\)
Hence the particular solution is
ysin x = 2x² – \(\frac { π² }{ 2 }\)
![]()
Question 14.
Find a particular solution of the differential equation (x + 1) \(\frac { dy }{ dx }\) = 2e-y – 1, given that y = 0 when x = 0.
Solution:

Hence y = log\(\left|\frac{2 x+1}{x+1}\right|\), is the particular solution.
Question 15.
The population of a village increases continuously at the rate proportional to the number of its inhabitants present at any time. If the population of the village was 20,000 in 1999 and 25,000 in the year 2004, what will be the population of the village in 2009?
Solution:
Let P be the population at time t
Given \(\frac { dP }{ dt }\) ∝ P
i.e, \(\frac { dP }{ dt }\) = kP, k is a constant
i.e., \(\frac { dP }{ dt }\) = kdt
Integrating both sides, we get
∫\(\frac { dP }{ dt }\) = k ∫dt
log|P| = kt + C … (1)
The initial population in 1999 is 20,000
i.e., when t = 0, P = 20,000
Hence (1) → log 20,000 = k(0) + C
∴ C = log 20,000
After 5 years, i.e., in 2004, the population is 25,000
i.e., when t = 5, P = 25000
Hence (1) → log 25000 = 5k + log 20000
log 25000 – log 20000 = 5k

Question 16.
The general solution of the differential equation \(\frac{y d x-x d y}{y}\) = 0 is
a. xy = C
b. x = Cy²
c. y = Cx
d. y = Cx²
Solution:
c. y = Cx
\(\frac{y d x-x d y}{y}\) = 0
∴ ydx – xdy = 0
ydx = xdy
\(\frac { dy }{ y }\) = \(\frac { dx }{ x }\)
Integrating both sides, we get
∫\(\frac { dy }{ y }\) = ∫\(\frac { dx }{ x }\)
log|y| = log|x| + log|C|
log|y| = log|Cx|
y = Cx
Question 17.
The general solution of a differential equation of the type \(\frac { dx }{ dy }\) + P1, x = Q1 is

Solution:
\(e^{\int {P}_{1} d y}\) is the integrating factor
∴ The general solution is
\(x \cdot e^{\int {P}_{1} d y}=\int\left({Q}_{1} e^{\int {P}_{1} d y}\right) d y+ {C}\)
![]()
Question 18.
The general solution of the differential equation exdy + (yex + 2x) dx = 0 is
a. x ey + x² = C
b. x ey + y² =C
c. y ex + x² = C
d. y ey + x² = C
Solution:
